书馆banner

您的位置:首页 > 书馆 > 技术资料 > 隧道技术

海底软弱地层浅埋大直径盾构对接开挖面失稳灾变机制研究

作者:陈一凡,沈翔 ,陈湘生  发布:2026/4/7  浏览:
单位:1. 极端环境岩土和隧道工程智能建养全国重点实验室(深圳大学), 2. 深圳大学土木与交通工程学院, 3. 滨海城市韧性基础设施教育部重点实验室(深圳大学)

为探明对接距离对海底大直径盾构开挖面失稳机制及规律的影响,依托甬舟铁路金塘海底盾构隧道工程,建立考虑渗流的盾构隧道对接有限元模型,研究对接距离L 对开挖面失稳机制以及极限支护压力的影响,并基于极限平衡法建立考虑渗流的盾构近距离对接开挖面极限支护压力理论模型。随着对接距离的增大,开挖面失稳形状和极限支护压力的变化可分为3 个阶段。1)快速增长阶段(0<L / D≤0. 4) (D 为隧道直径): 该阶段与单个隧道工况区别最明显,失稳区域由楔形体与仓筒组成; 此时受对接隧道的阻碍作用最大,且开挖面附近水头场变化剧烈,渗流力占据主要部分。2)缓慢增长阶段(0. 4<L / D≤0. 7): 失稳区域由对数螺旋体与仓筒组成,此时对接隧道的阻碍作用减小,因此极限支护压力在该阶段受对接距离的影响减小,增长缓慢。3)趋于平缓阶段(0. 7<L / D≤1. 5): 失稳区域由对数螺旋体与倒棱台组成,此阶段对接隧道的阻碍作用可忽略不计,极限支护压力、失稳区域形状与非对接情况相近,可视为单个隧道工况。建立的理论模型得出的结果与数值模拟的结果接近,两者误差在10%以内,验证了该模型的可行性。

0 引言

近年来,随着盾构设备的迭代,新工艺、新技术的不断出现,规划中的跨江跨海隧道越来越多。超大直径、超高水压、超长距离等极端条件的耦合使盾构地极端环境中开挖面失稳会导致严重的财产损失与人员伤亡,因此在盾构对接时保持开挖面稳定是保证海底盾构隧道安全施工的关键 。

海底盾构隧道对接开挖面稳定性问题的研究要点在于盾构近距离对接以及高水压下渗流对开挖面稳定性的影响。众多学者对考虑渗流或接近不同结构的盾构开挖面稳定性问题进行了研究,主要的研究方法包括理论计算法、物理试验法、数值模拟法。

理论计算法主要分为极限分析法和极限平衡法。相较于极限分析法,极限平衡法由于原理简单而被广泛用于盾构开挖面稳定性分析。在诸多极限平衡模型中,三维楔形体-筒仓模型推导简易、使用最多,一些学者使用该模型对考虑渗流的盾构开挖面问题进行了深入的研究。Anagnostou 等将三维楔形体-筒仓模型与数值模拟相结合,研究了开挖面与地表的水头差对极限支护压力的影响; Perazzelli 等改进了nagnostou 的相关模型,结合数值模拟结果通过拟合出的孔隙水压力场分布表达式研究了渗流对开挖面极限支护压力的影响; Huang 等将Perazzelli 的模型拓展到分层土中,研究了考虑渗流的非均质土对极限支护压力的影响。

物理试验法主要包括离心试验与模型试验。在离心试验方面: Chen 等通过试验分析了开挖面与地表不同水头差对极限支护压力的影响,研究表明极限支护压力随着水头差的增大而近似线性增大;罗维平等 通过离心试验,研究了富水砂层中开挖面支护压力过大时土层的失稳机制。在模型试验方面: Lyu等 结合粒子成像技术研究干砂和饱和砂在开挖面失稳机制与极限支护压力方面的区别。

数值模拟法是研究盾构开挖面稳定性问题的主要手段之一,主要包括离散元法、有限差分法和有限元法。刘英男等通过有限差分法研究了近接既有隧道的开挖面失稳机制,分析埋深以及不同近接距离对盾构开挖面失稳的影响,提出了改进的三维旋转破坏理论模型;Su 等通过有限元法研究了混凝土加固地层后的盾构隧道开挖面稳定性问题,结果表明开挖面失稳机制与开挖面和混凝土墙的距离有关,研究为对接工况下盾构开挖面的极限支护压力计算提供了参考。

综合现有理论可知,学者们虽针对考虑渗流的单个盾构进行了大量的研究,但现有渗流理论并不完全适用于对接时的开挖面失稳情况。为探究不同对接距离时开挖面的失稳形式、极限支护压力的变化规律,本文以甬舟铁路金塘海底铁路隧道为工程依托,基于有限元法建立不同对接距离的三维有限元模型,对比不同研究结果确认其可行性,并基于Perazzelli 提出的水头场分布理论提出适用于对接工况的理论模型,推导出考虑渗流的近距离对接开挖面主动极限支护压力公式,以期为对接工况下的盾构隧道开挖面稳定性提供理论依据。

1 海底盾构地中对接工程

对国内外已建、拟建以及规划的海底盾构地中对接工程进行充分调研,如表1 所示。表中列出的日本东京湾海底隧道、丹麦斯德贝尔特海底隧道 ,中国的广深港客运专线狮子洋海底隧道 、甬舟铁路金塘海底铁路隧道、琼州海峡海底隧道(规划) 等工程均有着长距离、大直径、高水压、地层复杂等特点,其中建设盾构对接工程中最高水压达0. 84 MPa,最大直径达14. 14 m。

表1 盾构对接工程统计

东京湾海底隧道(见图1)的对接位置位于海底区间中部,每个区间采用4 台盾构两两对接。到达对接位置后对周围地层进行冻结加固,先到达盾构停机并拆除部分设备,后到达盾构推进时根据探测结果不断修改推进路线,再进行对接。

广深港高速铁路狮子洋隧道(见图2)位于岩石地层,围岩强度高、稳定性好,为国内首次采用盾构对接技术的隧道工程。采用4 台泥水盾构相向掘进,对接前对周围土体注浆加固,先到达盾构停止推进并拆除部分设备,后到达盾构缓慢推进,最终在常压下进行对接。

甬舟铁路金塘海底盾构隧道(见图3)位于岩石复合地层,盾构直径大(14 m)、掘进距离长(5. 6 km)。对接前先注浆加固周围地层,先到达盾构停止推进并拆除部分设备,后到达盾构缓慢推进,再进行土木式对接。

规划中的琼州海峡海底隧道(见图4)预计水压达1. 47 MPa、盾构直径为15. 7 m,水下隧道长度超过20 km、单次掘进距离达10. 7 km。

超大直径盾构、超高水压、超长距离掘进3 类不利因素相互影响,加大了工程的挑战性; 且如果在海底对接时开挖面出现失稳,则会导致极大的人员伤亡与财产损失,因此对接隧道开挖面的稳定性问题不容忽视。

图1 东京湾海底隧道示意图(单位: m)

图2 狮子洋隧道地质剖面图(单位: m)

图3 甬舟铁路金塘海底隧道地质剖面图(单位: m)

图4 琼州海峡海底隧道地质剖面图(单位: m)

2 数值模型

2. 1 地层概况

甬舟铁路金塘海底盾构隧道位于浙江省宁波市金塘水道,水文与地质条件复杂,隧道主要穿越粉土、粉质黏土、细砂、凝灰岩,盾构隧道长度为11. 21 km,采用2 台盾构同时掘进施工,在海中进行对接。

为最大程度地减少盾构掘进距离,对接位置应尽量选择在路线中部。根据实际施工方案,盾构对接位置在凝灰岩突起段,盾构隧道2 段长度分别为4940 m和6270 m; 而若选择在隧道中心位置对接,则可以更好地兼顾两侧盾构掘进工期的平衡,减少一侧盾构的掘进距离。同时,考虑到如琼州海峡海底隧道等规划中的隧道,若使用盾构对接技术,将会在砂土地层或黏土地层中对接,因此有必要对砂土地层盾构对接时的开挖面失稳机制进行深入研究。综合以上因素,本文选择了如图3 所示的位置,此外,在软弱地层进行对接还要考虑地层加固的影响。

研究使用有限元软件PLAXIS 3D 进行数值模拟,模型为均一地层,土层材料参数如表2 所示。土层采用摩尔-库仑弹塑性实体单元模拟,加固区使用线弹性实体单元模拟。

表2 土层材料参数

2. 2 模型可行性分析

为验证数值模型的可行性,首先建立单个隧道开挖面失稳的数值模型。由于几何形状以及加载条件的对称性,建立半对称数值模型,如图5 所示。隧道直径D 为14 m,覆土厚度为C,为避免边界效应,在x 方向上,地层尺寸为3 倍隧道直径,在y、z 方向上为4 倍隧道直径,水面高度为地表以上10 m。模型侧向边界的法向位移设置为固定,允许切向位移;模型底部限制所有方向位移;模型顶部为自由边界条件,允许任意方向位移。模型对称面的地下水渗流边界条件设置为不透水边界,其余边界设置为透水边界。

图5 隧道开挖面有限元模型

本文选择应力控制法逐级减小支护压力直至开挖面失稳破坏。在隧道实际施工中,盾构隧道的开挖过程是逐步进行的,而本文侧重于研究盾构开挖面的失稳机制,因此采用简化过程来模拟盾构隧道的开挖。第1 步平衡初始地应力;第2 步移除隧道内土体、激活表面,并在隧道开挖面施加与初始地应力相等的支护压力;第3 步逐渐减小支护压力,直至开挖面发生破坏导致计算失败。

对比其他研究,如Lyu 等分别对渗流和非渗流条件下的砂土进行开挖面失稳试验; Chen 等通过离心试验研究稳态渗流引起的隧道工作面失稳情况;Zeng 等采用离散元法研究考虑静态液化的饱和砂土下盾构隧道开挖面失稳破坏过程; Alagha 等使用有限元模拟的方法研究不同土体参数下的开挖面失稳机制。不同试验下的开挖面失稳模型对比,如图6所示,图中红线为本文所得的开挖面失稳形状。由图可以看出: 在覆土厚度C =0. 5D 时,本文与Lyu 等在渗流条件下通过离心试验所获得的失稳形状相似,都是弧形滑动面与棱柱的组合,并且渗流条件下的倾角比非渗流条件下的倾角要小得多。

图6 不同试验下的开挖面失稳模型对比

另外,建立覆土厚度C =1D 与C =2D 的有限元模型,得到不同覆土厚度时的极限支护压力,如图7 所示。极限支护压力的确定是通过逐渐减小盾构开挖面支护压力,使开挖面水平位移不断增大; 当水平位移突变时,则认为此时的支护压力为极限支护压力。Lyu 等研究发现当隧道为浅埋隧道时,极限支护压力随覆土厚度增加而增加; 当隧道为深埋隧道时,极限支护压力与覆土厚度无关。由图7 可见,覆土厚度C = 1D 的极限支护压力比C =0. 5D 的大得多,此时为浅埋隧道,极限支护压力随覆土厚度增加而增加。当覆土厚度C 从1D 增大到2D 时,隧道为深埋隧道,因此极限支护压力变化较小。综上,本文所建立的数值模型具有可行性,因此以单个隧道有限元模型的数值模拟结果为主体,对比分析对接距离对开挖面失稳机制的影响。

图7 不同覆土厚度时的极限支护压力

2. 3 工况设置

通过改变对接盾构隧道工程中2 个盾构之间的距离L,研究不同对接距离下的开挖面失稳形式与极限支护压力的变化规律。对接距离L 在数值上选择以盾构直径为基准,并用无量纲数L / D 来表示,选择L / D位于(0,1. 5)区间内的工况; 而L / D 小于0. 2 时,由于网格大小与渗流条件的限制,因此只建立了(0. 2,1. 5)区间内的有限元模型,对接距离设置见表3,共设置了14 组研究工况。

表3 对接距离设置

2. 4 对接模型建立

当覆土厚度C = 0. 5D 时,隧道为浅埋隧道,隧道开挖面出现整体性失稳或涌水的可能性更大; 且浅埋时若地质条件差,对接时2 个盾构隧道开挖面存在相互影响的特点。因此以浅覆土为背景,建立覆土厚度C =0. 5D 对接模型,如图8(a)所示。

模型为半对称模型,左侧盾构的边界条件设置与单个隧道相同。右侧盾构认为处于完全稳定状态,其界面设置为不透水界面,并固定所有位移,其余条件与非对接工况相同。考虑地层加固的盾构对接开挖面有限元模型如图8(b)所示,该模型尺寸与对接模型相同,地层加固范围为绕隧道洞周1 圈的土体以及2 个隧道之间的土体,加固区域由圆环柱与圆柱组成,圆环柱壁厚3 m,圆环柱覆盖至2 个隧道开挖面后方3 m。

图8 盾构隧道对接时开挖面有限元模型

3 结果分析

3. 1 支护压力分析

在不同对接距离下,支护压力与开挖面中心点水平位移的关系曲线如图9(a)所示,将对接距离在(0. 6D,1. 5D)区间以及单个隧道情况下的曲线局部进行放大处理。总体而言,随着对接距离L 的增大,曲线与非对接工况的模拟结果越来越接近; 且在相同支护压力下,对接距离L 越小,开挖面位移越小。当对接距离在(0D,0. 4D)区间时,相比非对接工况,该区间支护压力需达到一个非常小的值时,开挖面位移才会发生突变,并且在位移突变前开挖面的位移比其余区间更小; 对接距离在(0. 4D,0. 7D)区间时,曲线不断向非对接工况下的曲线靠近; 对接距离在(0. 7D,1. 5D)区间时,曲线与非对接工况下的曲线重合,说明随着对接距离的增大,对接隧道的影响越来越小。

极限支护压力与对接距离的关系如图9(b)所示。随着对接距离改变,开挖面失稳机制与极限支护压力的变化基本上可分为3 个阶段。1) 快速增长阶段(0<L / D≤0. 4): 随着对接距离的减小,极限支护压力并非线性减小,当对接距离趋于0 时,极限支护压力会快速趋于0。极限支护压力最小的工况相比单个隧道工况的极限支护压力仍有其58. 67%,且迅速增长至86. 78%。2)缓慢增长阶段(0. 4<L / D≤0. 7): 极限支护压力随着L 的增大而呈近似线性增大,该阶段的极限支护压力相比单个隧道工况可达到其90%以上,但缓慢增长阶段的极限支护压力的增大速度比快速增长阶段要慢, 平均增长2. 63%。3) 趋于稳定阶段(0. 7<L / D≤1. 5): 该阶段的极限支护压力与单个隧道工况几乎相等,极限支护压力值在114. 2 kPa 处浮动。总体上极限支护压力随着L 的增大而增大。

3. 2 位移场分析

为研究不同对接距离对极限支护压力的影响,对不同工况下的盾构开挖面失稳区域进行了分析,使用位移等值线确定失稳区域。开挖面达到极限支护压力时的土体失稳区域如图10 所示,用红色渐变至蓝色的阴影表示失稳区域。

1)快速增长阶段。开挖面失稳区域由楔形体与仓筒组成,将楔形体长度标为K。该阶段滑动面倾角最大,且对接距离对倾角影响不明显,倾角平均为45. 07°。土体松动区延伸至地表,地表失稳范围小。在过往的研究中,单个盾构隧道开挖时,作用于开挖面的支护压力大致为分布于整个开挖面上的梯形荷载,因此选择使用隧道中心点处的支护压力值代表开挖面支护压力。而当处于快速增长阶段时,由于对接隧道对土体的阻碍作用,导致开挖面不再为整体破坏,因此该阶段开挖面中心处支护压力不再可以代表整个开挖面的支护压力; 同时,在该阶段2 个隧道间的松动土柱宽度小,导致开挖面前方土体受到的松动土压力比非对接工况相对更小,因此支护压力相同时开挖面前方土体的位移也更小, 表现为图9 ( a) 中L 在(0D,0. 4D)区间时的曲线初始阶段斜率更大。

图9 极限支护压力的确定

2)缓慢增长阶段。该阶段开挖面为整体破坏,失稳区域由对数螺旋体与仓筒组成,此时对接隧道的阻碍作用仍然存在,但对接距离的增大使阻碍作用在不断减小,导致隧道间松动土柱不断扩大,使弧形滑动面所受的上方松动土压力增大,滑动面范围扩展至整个开挖面,上方仓筒失稳区域随着滑动面的增大而迅速减小,但极限支护压力的增大幅度比快速增长阶段小。该阶段滑动面随对接距离的增大而不断发展,导致滑动面倾角随对接距离L 的增大而减小,平均为11. 93°。

3)趋于稳定阶段。滑动面倾角与非对接情况相近,平均倾角为5. 12°。开挖面为整体型破坏,土体失稳区域表现出漏斗状的破坏形式,失稳区域由对数螺旋体与倒棱台组成。该阶段土体失稳区域的范围以及形状与非对接工况相近,倒棱台宽度平均为10. 64 m,与非对接工况相差仅2. 82%,此时对接隧道对土体的阻碍作用可忽略不计,结合图9(b)可知: 该阶段极限支护压力与非对接工况接近。综上该阶段可视为单个隧道工况。

取L =1. 0D、L =0. 6D、L =0. 3D 工况,考虑地层加固情况下的盾构开挖面失稳形状如图10(p)、10(q)、10(r)所示。在地层加固后,开挖面支护压力降低至极小值时,3 个工况中L = 1D 工况的位移最大,为0. 017 m,仅为非加固工况的15%左右,证明地层加固显著减小了对接时出现开挖面失稳的风险。同时随着对接距离的减小,开挖面前方土体的位移最大值也逐渐减小。

图10 极限条件下的位移等值线图(单位: m)

3. 3 孔隙水压力场分析

数值模型的孔隙水压力场分布如图11 所示。隧道开挖面排水后,开挖面附近土体会与开挖面形成水头差,开挖面附近的水将向开挖面处渗透,导致孔隙水压力减小。因此,孔隙水压力等值线向开挖面处弯曲,形成漏斗状的孔隙水压力场,距离开挖面越近,则孔隙水压力等值线越密集、渗流力越大。对接工况与非对接工况孔隙水压力场的主要区别位于开挖面附近。1)快速增长阶段。由于对接隧道的存在,阻碍了部分孔隙水的渗透,因此该阶段的渗流力相对单个隧道而言较小,渗流力占据开挖面所受压力的主要部分,导致出现随着对接距离减小,极限支护压力并非线性减小的现象。2)缓慢增长阶段。对接隧道对孔隙水仍然存在相当的阻碍作用,此时孔隙水压力场与非对接工况差别明显。但由于对接距离的增大,开挖面附近孔隙水有较好的补充,相较快速增长阶段时在开挖面处孔隙水压力场的变化较平缓。3)趋于平缓阶段。此时模型的孔隙水压力场分布与非对接工况相差不大,开挖面所受渗流力与非对接工况相似。可见随着对接距离的减小,开挖面附近孔压水压力不断减小并且变化剧烈; 在对接距离较小时,渗流力对盾构开挖面稳定性的影响非常大。

图11 孔隙水压力场分布图(单位: kN/ m2)

4 讨论

4. 1 失稳区域参数拟合

由第3 节的分析可知,快速增长阶段是与非对接工况差别最大的阶段,有必要对其进行理论分析。快速增长阶段失稳区域长度拟合如图12 所示。快速增长阶段中开挖面土体失稳区域宽度K 随L / D 的变化如图中的黑线所示,图中增加了L = 0. 25D、L = 0. 35D2 种工况,通过多项式拟合、线性拟合以及指数拟合并得到其拟合曲线,所得各拟合函数及其R2 如表4 所示。由表可知: 多项式拟合的R2 最接近1,拟合效果最好,因此选择该函数作为拟合函数。

图12 快速增长阶段失稳区域长度拟合

表4 失稳区域长度拟合

4. 2 理论模型建立

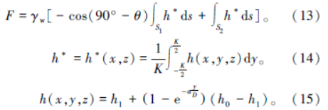
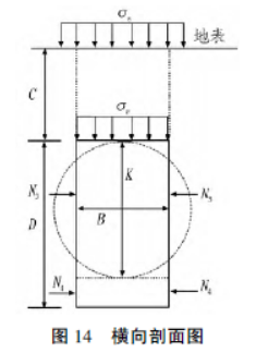
Su 等通过数值模拟研究了使用混凝土墙加固软土层条件下的盾构开挖面稳定性问题,并建立了非侵入失稳模式的三维极限平衡模型。非侵入失稳模式的失稳区域形状与快速增长阶段相似,但非侵入失稳模式的失稳土体长度为盾构直径D。本研究快速增长阶段中失稳土体长度为K,且非侵入失稳模式的理论模型并未考虑渗流力的影响,因此对该模型进行修正并对渗流力进行计算。在计算过程中,渗流的水平分量为渗流力的主要部分,因此忽略了竖向渗流力。模型纵向和横向剖面分别如图13 和图14 所示。建立如图13 所示的坐标轴,x 轴垂直于yoz 面。作用于楔形体上的力包括: 楔形体与对向隧道相接侧面的剪切力与法向力T1、N1,楔形体底部的剪切力与法向力T2、N2,滑动面侧面的剪切力与法向力T3、N3,楔形体2 个侧面的剪切力与法向力T4、N4,楔形体重W,水平方向渗流力F,支护压力pc;作用于楔形体上方的竖向土压力σv。其中作用于滑动块上部的竖向土压力

式中: σs 为地表负重; γ 为土体重度。

式中B 为隧道面等效宽度。

图13 纵向剖面图

T3 计算如图15 所示,基于几何关系,可得:

式(3)—(4)中: Lz 为土条长度; K 为楔形体左侧的失稳长度; K′为楔形体右侧的失稳长度; z 为三角形顶部至第i 个土条的距离; c 为土体黏聚力; K0 为土体侧压力系数; φ 为内摩擦角; θ 为滑动面倾角,结合本研究数值模拟结果,快速增长阶段的θ 平均值为44. 754°,在初步计算时可近似取θ =45°。

图15 T3 计算图

对图13 进行竖向受力分析可得:

将式(7)—(11)代入式(6)可得

将式(12)代入式(8)可得T2

对图13 中的水平方向进行受力分析,其中水平方向渗流力

式(13)—(15)中: γw 为水的重度; S1 为楔形体滑动面; S2 为隧道开挖面; h∗为滑动体内部沿y 方向的平均水头; h0 为隧道底部至地表水位的高度; h1 为盾构开挖面测压管水头; h(x,y,z)为楔形体内部地下水头场分布函数; a 为Perazzelli 等提出的水头场近似表达式的参数,各工况取值如表5 所示。

表5 近似水头分布公式参数

因此可得支护压力

4. 3 结果对比

计算所得结果与第3 节中数值模拟所得结果如表6 所示,各工况差异均在10%以内。计算所得结果与数值模拟结果的对比如图16 所示。当对接距离减小时,开挖面所受有效应力不断减小,但渗流力变化不大,导致所示对接距离趋于0 时极限支护压力会快速趋于0(如图8(b)所示)。理论预测的曲线与数值模拟的曲线趋势基本一致,可见该数值模型预测效果较好。当L / D 为0. 20 时理论模型所得结果偏大,原因是对接距离过小时,地下水头场分布函数对y 方向的水头分布较大,导致计算得到的渗流力偏大。该模型可初步用于计算考虑渗流的盾构对接工程开挖面极限支护压力。

表6 理论计算与数值模拟结果对比

图16 计算结果对比

5 结论与建议

基于甬舟铁路金塘海底隧道工程,采用有限元法进行数值模拟,研究高水压作用下盾构对接工程在不同对接距离影响下的开挖面稳定性问题,重点关注开挖面失稳机制以及极限支护压力变化规律。通过数值模拟方法,得到不同对接距离区间的失稳模式。针对快速增长阶段的特殊性,建立相应的开挖面支护压力计算模型,得到以下结论。

1)极限支护压力随着对接距离L 的变化可分为3 个阶段: 快速增长阶段(0<L / D≤0. 4)、缓慢增长阶段(0. 4<L / D≤0. 7)、趋于平缓阶段(0. 7<L / D≤1. 5)。快速增长阶段为对接工况与非对接工况区别最大的阶段,此时极限支护压力最小,但由于渗流力的影响,极限支护压力最小的工况下相比单个隧道工况极限支护压力仍有其58. 67%,且迅速增长至86. 78%。缓慢增长阶段的极限支护压力相比单个隧道工况可达到其90%以上,但增长缓慢,平均仅有2. 63%。趋于平缓阶段的极限支护压力与单个隧道工况几乎相等。

2)开挖面失稳区域随对接距离L 的增大从快速增长阶段的楔形体与仓筒转变为缓慢增长阶段的对数螺旋体与仓筒,到趋于平缓阶段时仓筒转变为倒棱台,对数螺旋体发展至整个开挖面。对接隧道的阻碍作用导致了3 个阶段失稳区域形状的差别。此外,地层加固显著减小了开挖面失稳的风险。

3)在快速增长阶段,由于对接隧道的存在阻碍了周围孔隙水向开挖面处渗透,因此2 个隧道中间处的孔隙水压接近0,渗流力占据开挖面所受压力的主要部分。在缓慢增长阶段,对接距离的增加使开挖面附近的孔隙水得到较好的补充,因此孔隙水压力场变化减缓,但相对单个隧道工况其水头线仍然较密集。在趋于平缓阶段,孔隙水压力场整体与单个隧道工况相差不大。

4)基于极限平衡法建立考虑渗流的盾构近距离对接开挖面支护压力计算模型,得到各个工况下模型计算结果与数值模拟结果的误差均在10%以内,验证了该理论模型的可行性,此模型可用于计算高水压下盾构近距离对接时开挖面的极限支护压力。

本文研究了对接距离对隧道开挖面失稳机制的影响,可为实际工程提供初步参考; 但高水压下盾构对接开挖面失稳受多因素耦合影响,需进一步针对埋深、地层类型、水压等因素进行研究。

隧道网版权及免责声明:

凡本网注明“来源:隧道网”的所有作品,版权均属于隧道网,未经本网授权,不得转载、摘编或以其它方式使用上述作品。已经本网授权使用作品的,须在授权范围内使用,并注明“来源:隧道网”。违反上述声明者,本网将保留追究其相关法律责任的权利。凡本网来源注明为非隧道网的作品,均转载自其它媒体,转载目的在于传递更多信息,该文章仅代表作者观点,并不代表本网赞同其观点或对其真实性负责,请读者自行核实相关内容,仅作参考。如因作品内容、版权和其它问题请与本网联系。

关键词

相关文章

网友评论

发表评论

发表评论 (回复限1000字以内!)

加载更多...


隧道网手机版
隧道网微信公众号
╳ 关闭