书馆banner

您的位置:首页 > 书馆 > 技术资料 > 隧道技术

超大直径盾构长距离海底对接关键技术研究

作者:陈佳俊  发布:2026/3/30  浏览:
单位:1. 中铁十一局集团有限公司,2. 中铁十一局集团城市轨道工程有限公司

文章基于甬舟铁路金塘海底隧道工程,分析研究金塘海底隧道中2 台超长距离盾构机精准对接测量方式,评估其测量水平及高程误差估算,并结合工程段地质条件,研究对接点位置的选择策略、对接加固方式(掌子面、管片和盾体的加固)以及整个施工工艺流程,以确保对接点施工安全。研究结果表明,通过理论计算,2 台盾构机海底对接精度满足规范要求,且使用超前钻孔进行洞内联测,可有效控制贯通时的对接测量误差,并可进一步提高对接精度,确保盾构顺利对接。此外,针对对接段位置选择、掌子面地层分析与评价和对接工艺等的研究工作,可有效确保对接安全。<br />

1 研究背景

随着我国交通建设事业的快速发展和技术水平的不断提高,长大隧道、深水海底隧道不断涌现,特别是在不良地质以及复杂环境条件下的隧道建设取得令人瞩目的成就。在隧道施工工法方面, 王梦恕院士通过分析我国盾构和掘进机隧道修建技术现状,提出长距离(距离>2 km)掘进时,采用深埋盾构法施工是未来发展方向,并提出琼州海峡隧道、渤海湾海底隧道、台湾海峡隧道等海底隧道均可采用超大直径盾构法施工。

目前,采用超大直径盾构法建设复杂条件下的高铁海底隧道暂无成熟的工程经验借鉴。建成的海底隧道和在建的高铁海底隧道与目前金塘海底隧道的施工难度存在差异。首先是金塘海底隧道跨海段长度较大,盾构段长度11.21 km,跨海长度8.3 km。其次,在建的超大直径高铁海底隧道均未采用海底对接,仅已建成的广深港狮子洋隧道(隧道直径11.8 m)采用“相向施工、地中对接、洞内解体”工艺,对接难度小于金塘海底隧道。因此,保证对接精度及对接施工是本工程的关键。

2 工程概况

甬舟铁路金塘海底隧道全长16.18 km,盾构段长度11.21 km,其中金塘侧6.27 km、宁波侧4.94 km,采用2 台直径14.6 m 盾构机相向掘进,并在海底完成对接和洞内拆解。金塘海底隧道属全线控制性工程,是目前世界上长度最长、直径最大、地质最复杂、施工难度最高的海底高铁隧道。金塘海底隧道线路平面图如图1所示。

图1 金塘海底隧道线路平面图 ( 单位:m)

图2 金塘海底隧道地质纵断面图

3 对接测量评估

3.1 测量总体规划

盾构隧道施工测量包括地面控制测量、进洞测量、地下控制测量、盾构导向测量等。为保证盾构机的精准对接,在施工前须对所有测量项目进行梳理和规划,金塘海底隧道测量流程如图3 所示。

隧道对接既要满足高程贯通误差精度,又要保证横向贯通误差精度,在2 台盾构机每掘进一定距离时,对接双方精测队分别对洞内外控制点进行联测,通过地面控制网将两边洞内控制点连接起来,并对盾构机姿态进行人工复核。

洞外平面控制采用全球导航卫星系统(GNSS)静态测量,高程采用二等水准,跨海段采用GNSS 跨海水准。洞内导线采用交叉双导线闭合环方式,以满足施工所需精度。首先,对接双方分别对己方及对方控制点独立进行测量,对洞内、外控制点进行复测、校核、平差等对接前的测量工作。其次,利用多次联测结果,共同研究确定现场控制点,形成最终的测量成果和调整方案。最后,双方按照最终的测量成果调整盾构姿态进行掘进,采用2 台盾构的实测高程和坐标进行相对位置控制,以先行盾构的位置与姿态为基准,对后行盾构的掘进方向与姿态进行控制,地面控制点联测如图4所示。

图3 金塘海底隧道测量流程图

图4 通过地面进行控制点联测示意图

通过多次洞内外控制点联测可以有效减小测量误差,但由于本盾构隧道长度大,两边隧道内的直伸导线仍会产生较大误差,误差累计值仍超过允许对接偏差(20 mm)的要求,因此本工程不能单独采用该方法,尝试采用钻孔直接探测盾构相对位置,以确保精确对接。钻孔后的控制点联测如图5 所示。

图5 通过钻孔探测进行控制点联测示意图

3.2 对接平面精度估算

3.2.1 洞外平面控制网精度估算

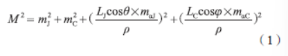
控制测量前,先估算测量设计时的横向贯通中误差,再验算所选控制网的测量等级是否满足贯通误差要求。即:

式(1)中,M 为贯通误差;mJ、mC 为进、出口GNSS控制点的坐标误差;LJ、LC 为进、出口GNSS 控制点至贯通点的长度;mαJ、mαC 为进、出口GNSS 联系边的方位中误差;θ、 φ 为进、出口控制点至贯通点连线与贯通点线路切线的夹角,后两项也可由下式算得。

式(2)中,m洞外定向为GNSS 方向误差对贯通误差的影响;mG 为GNSS 测量定向联系边方向误差;ρ 为隧道设计时的先验值,通常取值206 265" ;L 为相向开挖隧道计算设计长度,考虑到洞外GNSS 控制点位(引测边)布设与洞口有一定距离的因素(实际最长距离约1 km),取隧道线路长度时加1 km,隧道贯通估算如表1 所示。

由表1 可知,当GNSS 控制测量等级选取一等等级测量时,贯通估算值满足规范要求。

洞外控制测量后,根据实测成果和精度估算控制测量的验后横向贯通误差为:

式(3)中,σΔx、σΔy、σΔxΔy 为由进、 出口推算至贯通点的x、y 坐标差的方差和协方差;αF 为贯通面的方位角。

3.2.2 洞内平面测量误差对贯通的影响

根据规范要求,洞内平面控制网采用隧道二等等级导线施测。为安全贯通,工程实际操作按二等等级导
线要求测量。先按洞口以边长500 m(规范要求大于等于400 m)等边直伸支导线一次测量的方式,向洞内引测平面控制网,估算洞内控制测量对横向贯通误差的影响。洞内导线点与贯通面距离值如表2 所示(仅按支导线推算,实际为交叉双导线网)。

表1 隧道贯通估算统计表

表2 洞内导线点与贯通面距离Rx、dy 值统计表 m

注:Rx 为导线点在贯通面上的投影长度横坐标;dy 为导线点在贯
通面上的投影长度纵坐标。

由洞内导线测量引起的隧道横向贯通误差主要由测角误差和测距误差2 部分组成,其中,测角误差引起的横向贯通误差myβ 按下式计算:

式(4)中,mβ 为导线测角中误差,该隧道导线按二等等级精度布设,采用徕卡TS60 测量机器人测量,独立一组测角中误差mβ 为0.5" ;ρ 为206 265" ;ΣRx2 为各导线点与贯通面的垂直距离的平方和。

测距误差引起的横向贯通中误差l 按下式计算:

式(5)中,ml 为测距误差;myl 为导线边长相对中误差,独立观测一组边中误差为1/100 000 ;Σdy2 为导线各边在贯通面上的投影长度的平方和。

根据表2 数据,可得:

洞内导线测角、测距误差引起的横向贯通误差值为

3.2.3 隧道综合平面贯通误差估算

隧道综合贯通误差由洞外GNSS 测量误差、洞内导线测量误差共同引起,即:

由式(7)可见,隧道综合平面贯通误差小于规范要求的100 mm 要求。

3.3 隧道对接高程精度估算

隧道洞内、洞外高程控制测量精度直接影响高程贯通中误差。洞外、洞内高程控制测量误差影响所产生在贯通面上的高程中误差mh 按下式计算:

式(8)中,mΔ 为每千米水准测量的偶然中误差;L 为洞外或洞内两开挖洞口间高程路线长度。

3.3.1 洞外水准控制网精度估算

洞外跨海段水准联测采用GNSS 水准测量,跨海水准点间的水准采用电子水准仪测量,测量结果应满足《国家一、二等水准测量规范》(GB/T 12897-2006)中一等水准测量要求。一等水准测量偶然中误差为0.45 mm / km,洞外水准复测线路长度为33.15 km,则洞外水准测量的中误差mhw 为:

由式(9)可见,洞外水准测量的中误差小于规范要求。

3.3.2 洞内高程测量误差对贯通的影响

洞内高程采用二等水准引测控制。测量精度采用规范值1 mm / km,根据线路长度(金塘侧7.27 km,宁波侧5.94 km)推算,可得洞内控制测量的中误差mhn 为:

由式(10)可见,洞内控制测量的中误差小于规范要求。

3.3.3 洞内外高程控制测量误差对贯通的综合影响

综合上述可得:

由式(11)可见,洞内外高程控制测量误差小于规范要求的±25 mm 要求。

4 对接主要技术控制要点

4.1 对接点地质情况及评价

4.1.1 对接点地质情况

对接点位置选择在DK23 + 110 断面位于弱风化凝灰岩层,开挖面自稳性较好[5],断面水深21.2 m,(10)3弱风化凝灰岩层覆盖厚度约24.8 m(最小强度54 MPa,平均强度61.66 MPa,最大强度185 MPa)。其中,(10)3凝灰岩为弱风化,青灰色、褐红色,节理较发育,岩体较破碎,岩芯局部较完整,多呈柱状、短柱状、局部长柱状或破碎呈块状,隧址区分布较连续(DK19 + 430 ~DK23 + 340、DK28 + 610 ~ DK30 + 713),钻探揭露层面标高-107.44 ~ 20.04 m,属极硬岩,岩体较完整,渗透性差,围岩稳定性较好,可以满足长时间停机要求。对接点位置地质断面如图6 所示。

4.1.2 对接点水文情况及评价

根据地勘报告及地质补勘情况,结合附近钻孔抽水试验、压水实验及地区经验,综合判定岩体微透水,渗透系数约0.001~ 0.01 m / 天。受岩体风化不均匀影响,钻探未揭示地层存在岩体较破碎可能性,渗透系数较小。对接点位置地质芯样如图7 所示。

图6 对接点位置地质断面图 ( 单位:m)

图7 对接点位置地质芯样图

4.2 对接施工流程

两侧盾构机中先行到达对接点的盾构机,在到达前30 环提前开仓,进行掌子面地质情况检查,其目的主要为选择稳定地层进行对接作业,在地层满足对接施工条件较好一方,进行停机保压注浆作业。利用多次GNSS平差结果联测导线,取平均值确保地中对接里程处2 盾构轴线径向错位小于100 mm。后到达停机点的盾构机在初次停机点处调整掘进参数及盾构机姿态,并在2 台盾构机距离20 cm 位置处再次停机,环流出渣,并开始对停机位置进行注浆作业。

贯通之后,先割除辐条与方形门正对的部分辐条,以保证同时进行贯通测量,并提供进、出口隧道贯通测量条件。其对接施工流程[7-8] 如图8 所示。

图8 对接流程示意图

4.3 对接位置最终选择及评估

根据对接区域地层选择,将2 台盾构机刀盘皆进入里程DK23 + 040~140,长100 m 范围内,即DK23 + 110断面前后里程范围做为第一对接点。现场可根据实际施工进度在本区域内选择一点做为备用地中对接位置以减少先行到达盾构机的停机时间。相距20 环时,利用洞内超前探测设备,对对接位置岩层发育程度、围岩等级、地下水情况进行评价,并确定开仓位置。同时开仓检查地层,地层确认由地质专家进仓进行,经比对后选择地层较好一方作为对接施工位置。

本工程存在2 处对接点。

(1)第一对接点(设计)。DK23 + 110 断面前后里程范围内,弱风化覆岩厚度不小于20 m 的区段范围为DK23 + 040~140,长100 m,本段可做为首选海底对接位置。

(2)第二对接点(备用)。若2 台盾构机到达时间相差太大时,可在DK22 + 350 附近(范围为DK22 + 300~400,跨度100 m,距原设计对接点760 m)处,根据岩层覆土和地层分布情况可做为第二海底对接位置。

对接位置选择根据地层稳定性及涌水量综合评判得出,具体综合评判标准如下。

(1)对地层涌水量进行观察并确保无明显较大的涌水点,同时对涌水量进行统计,要求小于10 m3/ h。

(2)对掌子面地层进行观察并确保无明显掉落情况,且掌子面无较大裂纹、节理。强度评判采用对掌子面地层进行强度回弹,强度要求不小于30 MPa。

(3)对掌子面进行雷达探测,无异常区域。

4.4 盾构机不同时到达处理措施

在对接位置确定后,先到达的盾构机进行保压停机,配合后到盾构机施工。在对地层加固的同时,先到达的盾构机可对配套设备进行拆除,保证仓内压力与开挖面水土压力平衡。

后到达盾构机应按先到达盾构机的刀盘中心姿态掘进。实时调整盾构机姿态及注浆参数,在2 台盾构刀盘相距3 ~ 5 环时,先到达盾构机用钢板焊接封闭刀盘幅条开口,防止后掘进大块进入泥水仓内,采用20 mm 厚钢板进行焊接封闭。当掘进至两刀盘相距2 m 时,对掘进参数进行调整,降低刀盘转速和掘进速度。当2 刀盘相距30 cm 时,后到达盾构机逐渐降低刀盘转速进行掘进,直至2 个盾构机刀盘接触。

两盾构机刀盘接触前,应预先计算里程坐标并派专人在2 仓壁进行监听。保证双方的通信畅通。当里程上确认贯通,并相互听到刀盘接触后,立即通知对方停止掘进。

超前注浆时建议盾构机前仓采用高比重的泥浆保压停机,且泥水压力宜与地下水压力持平,注浆压力较泥水压力高2 ~ 3 MPa。注浆时根据现场试验决定具体注浆压力,尽量减少浆液进入泥水仓。

4.5 盾壳盾体加固措施

盾壳盾体的背后空隙利用前、中盾预留的径向孔进行注浆加固,防止背后来水。首先,采用双液浆对盾壳与地层之前空隙进行填充,再利用盾体径向孔对盾壳背后注入超细水泥浆液,对盾壳及盾体进行固定。

4.6 管片加固措施

4.6.1 对接段管片加固

在对接拆机时,管片无千斤顶油缸推压,容易造成管片错台、破损。因此,盾构机到达对接位置后需对盾尾后方管片进行加固。

管片加固方式为,在盾尾后方20 ~ 30 环管片内部设置钢板,将管片沿隧道环向和纵向拉紧,以防止其松动变形。

4.6.2 对接后管片加固

当两侧盾构机刀盘接触后,盾构机停止推进。为防止拆除油缸时管片沿隧道纵向松弛,造成管片环、纵缝漏水,对对接点两侧90 m 范围内的管片进行壁后双液浆补充注浆并复紧管片螺栓,同时在末环管片端面与盾壳之间焊接20 mm 的钢肋板防止管片松弛。管片端部钢板(背覆钢板)应在管片制作时提前进行预埋。

4.6.3 管片与盾尾空隙段加固

为确保盾构拆机后盾尾的密封效果,在对管片进行加固处理后立即开展管片与盾尾空隙注浆加固,注浆采用快硬水泥浆液。

4.7 对接地层加固止水

对接地层加固止水施工包括管片背后二次注浆封堵仓内盾尾后部来水及盾构机超前注浆对对接地层全断面加固止水施工。

(1)管片背后二次注浆。到达对接点后,2 台盾构机分别对盾尾后方15 ~ 20 环管片进行二次注浆,防止后方来水。

(2)超前注浆地层加固。到达后的2 台盾构机先后利用其超前注浆孔对对接区域地层全断面进行加固。在对管片与盾尾及盾壳与地层之间的空隙进行注浆加固止水施工完成后,利用盾构机预留的超前钻孔对对接段地层掌子面进行超前注浆加固处理,盾构机设计沿圆周方向均匀布设置2 排共32 个直径150 mm 超前钻孔,按8°和12°各16 个设计。地层注浆采用梅花型交叉方式布置,注浆管为直径108 mm(壁厚6 mm)钢花管,以保证对接点掌子面注浆加固后形成一个整体胶结体。

(3)注浆加固标准及检查。注浆加固完成后开仓检查加固后的掌子面稳定性及涌水量。总涌水量要求小于20 m3/h,对掌子面上面加固土体进行取芯验证,确认稳定后,则可进行下一步施工。

4.8 盾壳之间加固施工

贯通之后,刀盘转至幅条位置且正对土仓方形门。在拆除前仓之前首先检查对接掌子面地下水发育情况,必要时需进一步补充注浆加固。待检查完毕并确认掌子面具备开仓条件后开始对刀盘进行开仓切割。切割时保持刀盘小块切割。同时立即用20 mm 厚的钢板将两侧盾壳分块焊接(坡口焊接)成一体,并对因对接误差导致的盾壳之间高差先用喷射混凝土进行平整处理,对背后的渗漏水进行集中引排。

4.9 对接段衬砌施工

对接段结构施工只可在拆机完成后进行,现浇结构分为衬砌底部先浇层与上部后浇层,且衬砌达到设计强度后,再现浇内部结构。衬砌底部先浇层连同预制箱涵角部一起浇筑,并在角部内外侧分别预埋钢筋锚入后浇层。

对接段结构采用C50、P15 现浇混凝土结构,其与外侧盾壳形成组合结构承受围岩荷载及水压力,对接段衬砌结构厚90 cm,对接段设计二次衬砌范围为20 m长,采用先底部浇筑后顶部分段浇筑施工。

5 结束语

通过采用对对接点平面贯通误差和高程贯通误差分析计算,本工程超长距离海底隧道,相向掘进的2 台盾构机采用高精度测量方法产生的平面综合横向贯通误差为65.5 mm,小于规范允许平面综合贯通中误差±100 mm的要求,产生的高程贯通中误差为4.5 mm,小于规范允许平面综合贯通中误差±25 mm 的要求,可满足成型隧道偏差允许值。

通过对对接工艺流程的系统分析和研究,证明海底对接采用注浆法加固的土木式对接方式(地层加固辅助施工对接法)方案是具备可实施性的,可为后续类似超大直径水下盾构对接施工提供借鉴和参考。

隧道网版权及免责声明:

凡本网注明“来源:隧道网”的所有作品,版权均属于隧道网,未经本网授权,不得转载、摘编或以其它方式使用上述作品。已经本网授权使用作品的,须在授权范围内使用,并注明“来源:隧道网”。违反上述声明者,本网将保留追究其相关法律责任的权利。凡本网来源注明为非隧道网的作品,均转载自其它媒体,转载目的在于传递更多信息,该文章仅代表作者观点,并不代表本网赞同其观点或对其真实性负责,请读者自行核实相关内容,仅作参考。如因作品内容、版权和其它问题请与本网联系。

关键词

相关文章

网友评论

发表评论

发表评论 (回复限1000字以内!)

加载更多...


隧道网手机版
隧道网微信公众号
╳ 关闭