书馆banner

您的位置:首页 > 书馆 > 技术资料 > 深大基坑

江阴靖江长江隧道工作井侧墙抗裂防渗研究与应用

作者:王峻, 李明, 王育江, 田倩, 李世龙, 李敏  发布:2026/2/11  浏览:
单位:1. 江苏省交通工程建设局, 2. 江苏省建筑科学研究院有限公司 高性能土木工程材料国家重点实验室, 3. 东南大学材料科学与工程学院, 4. 中铁十四局集团有限公司, 5. 中铁十四局集团大盾构工程有限公司

为解决工作井侧墙混凝土收缩开裂及侧墙顶部与环框梁结合部位不密实而引起的渗漏问题,首先,采用考虑材料、结构、环境、施工等多因素耦合机制模型,量化评估混凝土开裂风险,提出抗裂性控制指标; 然后,通过综合运用黏度调控、水化历程与膨胀历程双重调控技术,实现了工作井侧墙中低胶材混凝土自密实性能与抗裂性能协同; 最后,结合入模温度控制、冷却水管、控制布料间距与浇筑速率以及保温保湿养护等工艺措施,提出了超长大体积、分步浇筑的工作井侧墙抗裂防渗成套技术方案。工程应用结果表明,工作井侧墙与环框梁结合密实,单边最大长度为53. 6 m、一次性浇筑累计长度达120 m、厚1. 5 m 的工作井侧墙未出现裂缝及渗漏。<br /> <br />

0 引言

近年来,随着“一带一路”倡议、“交通强国”战略的实施,我国水下隧道建设规模发展迅速。据统计,2001—2020 年开工了231 条水下隧道,主要穿越黄浦江、珠江和长江,采用的施工方法主要为盾构法。因此,采用盾构法施工的水下隧道已成为跨越江河湖海的重要选择。随着社会经济的发展、人们对交通出行的需求以及核心装备的研发,盾构隧道的直径也越来越大 ,仅2020 年国内开工建设的直径超过15 m 的盾构隧道就达到了5 条。用于盾构始发、接收以及人机料交换节点的工作井是盾构隧道的重要组成部分,对于超大直径盾构隧道,其工作井具有结构尺寸大、基坑挖深大以及工况复杂的特点,使得工程建设面临极大的挑战。

对同类工程工作井侧墙以及类似现浇侧墙结构进行的工程调研结果表明,这种现浇侧墙结构极易在施工期就出现贯穿性收缩裂缝而引起渗水。与此同时,工作井侧墙处于上下层先浇筑的环框梁或环框梁与工作井底板之间,相当于在密闭空间内浇筑侧墙混凝土,混凝土浇筑时布料与振捣困难,侧墙顶部的新老混凝土界面容易因不密实而出现渗水。上述收缩开裂以及新老混凝土结合不密实引起的渗漏已成为盾构隧道工作井的质量通病。对于超大直径盾构隧道,由于其结构尺寸较大,工况条件复杂,通常采取竖向分层、环向不分段一次性浇筑的施工工艺,但这种分步浇筑的超长、大体积混凝土本身开裂风险很高,施工难度大,渗漏水问题也尤为突出。

为解决混凝土收缩开裂问题,从材料角度可采取的措施包括原材料优选、配合比优化、掺加抗裂性提升功能材料等; 从工艺角度可采取的措施包括降低入模温度、减少分段长度、设置冷却水管等。这些措施在城市轨道交通工程(地下车站、现浇隧道、桥梁等)中得到了应用,混凝土配合比设计时通常采取低胶凝材料用量的思路,即在保证顺利施工的前提下尽可能减少混凝土中的浆体量。为解决混凝土振捣困难、不密实的问题,可采用自密实混凝土施工,相关技术已在钢管拱桥、钢壳沉管等工程中得到了应用。为了提高混凝土的流动性与填充性,这类混凝土胶凝材料用量较高。

从混凝土材料角度可以看出,裂缝控制与密实填充存在着一定的矛盾,因此,非常有必要提出自密实与抗裂性能协同的混凝土制备及应用技术,以解决因混凝土不密实及收缩开裂导致工作井侧墙的渗漏问题。

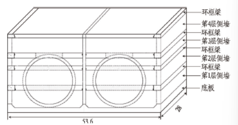
1 工程概况

江阴靖江长江隧道位于江阴大桥和泰州大桥之间,路线全长约11. 825 km,隧道全长约6 445 m,盾构段管片外径达15. 5 m,最大埋深达53 m,最大水头82m,是国内在建直径最大、水压最高的水下隧道,是长度排名第二的长江隧道,入选了交通运输部第一批“平安百年品质工程”创建示范项目。该工程始发工作井侧墙混凝土强度等级为C40,结构平面尺寸为28m×53. 6 m,厚1. 5 m,基坑深29. 4 m,环框梁厚1. 2~1. 8 m,工作井侧墙自下至上分4 层,单层侧墙最大高度为6. 15 m,其中第1 层侧墙位于工作井底板与环框梁之间,其余侧墙位于上下层环框梁之间。由于每层侧墙都是一次性浇筑完成的,受预留洞口影响,第1 至3 层侧墙单边最大长度为28 m,第4 层侧墙单边最大长度为53. 6 m,且累计长度达120 m,混凝土开裂风险高,如图1 所示。尽管在环框梁上预留了浇筑孔和振捣孔(兼做排气孔),但在密封空间内浇筑超长大体积混凝土施工相当于“盲浇盲振”,施工难度大,混凝土的收缩开裂及浇筑不密实均会引起渗漏水问题,因此,本工程工作井侧墙对混凝土自密实与抗裂性能均有较高要求。

图1 始发工作井结构示意图(单位: m)

2 混凝土开裂风险评估与设计

2. 1 开裂风险评估方法

采用基于“水化-温度-湿度-约束”多场耦合机制的抗裂性评估理论与方法,定义混凝土开裂风险计算公式如下:

式中: η 为开裂风险系数; σ(t)为t 时刻的混凝土最大拉应力, MPa; ft ( t) 为t 时刻的混凝土抗拉强度,MPa。

当η>1. 0 时,混凝土一定会开裂; 当0. 70<η≤1. 0 时,混凝土存在较大的开裂风险; 当η≤0. 70 时,混凝土不开裂保证率≥95%。对结构特征、环境参数、混凝土材料及施工工艺等因此进行评估,当计算出的开裂风险系数大于0. 70 时,由于结构特征及环境参数无法改变,可通过调整混凝土材料参数(如绝热温升和变形)以及施工工艺(如入模温度、分段浇筑长度等参数)将开裂风险系数控制在0. 70 以下,并基于可实施性和经济性,提出裂缝控制指标与方案,如图2 所示。

图2 混凝土开裂风险评估与设计

2. 2 主要参数及工况条件

根据工作井施工计划,评估炎热气候施工时工作井第1—4 层28 m 段侧墙以及第4 层53. 6 m 段侧墙开裂风险。日均气温取28 ℃,混凝土入模温度取28、25 ℃,同时考虑设置冷却水管的情况,墙体高度方向上下层冷却水管间距均为1 m。当墙体厚度方向设置1 根冷却水管时,冷却水管位于厚度中心; 当厚度方向设置2 根冷却水管时,冷却水管距离墙体内、外表面0. 5 m。由于工作井侧墙开裂风险较高,考虑采取水化历程与膨胀历程双重调控技术制备一种低温升、高抗裂混凝土[17] ,混凝土绝热温升取45 ℃,7 d 自生体积膨胀变形取200με,28 d 取100με。编号1-28 m-28℃表示第1 层28 m 段侧墙入模温度28 ℃的工况; 1-28 m-L1-28 ℃表示第1 层28 m 段侧墙在墙体厚度方向设置1 根冷却水管、且入模温度为28 ℃的工况; 4-53. 6 m-L2-28 ℃表示第4 层53. 6 m 段侧墙在墙体厚度方向设置2 根冷却水管、且入模温度为28 ℃ 的工况,其余编号所表示的工况依此类推。

2. 3 开裂风险评估结果

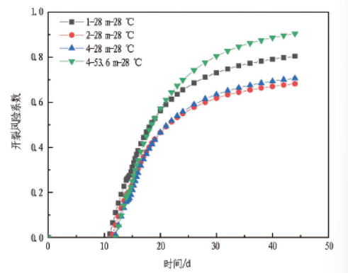
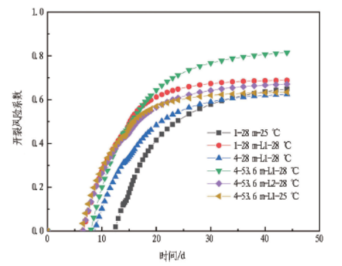
当混凝土入模温度为28 ℃时,工作井侧墙开裂风险评估结果如图3 所示。结果表明,开裂风险随着侧墙长度的增加而显著增大,由于第1 层侧墙位于底板和环框梁之间,其受到的约束作用比第2—4 层侧墙大。因此,长度同为28 m 时,第1 层侧墙开裂风险系数较其他层高。通过严格控制入模温度不超过28 ℃并采用低温升高抗裂混凝土,可控制第2 层以及相同工况的第3 层28 m 段侧墙开裂风险系数至0. 70 以下,第4 层53. 6 m 段侧墙的开裂风险系数仍达到0. 90 以上,存在开裂的可能。

图3 入模温度28 ℃时侧墙开裂风险

为将工作井侧墙开裂风险系数控制在0. 70 内,进一步考虑在开裂风险较高的第1 层及第4 层侧墙中采取设置冷却水管或继续降低入模温度的措施,不同工况条件下侧墙开裂风险如图4 所示。结果表明: 对于第1、4 层28 m 段侧墙,当控制入模温度为25 ℃或入模温度为28 ℃且在墙体厚度中心设置1 根冷却水管时,可降低混凝土开裂风险系数至0. 70 以下; 对于第4 层53. 6 m 段侧墙,当控制入模温度为25 ℃ 且在墙体厚度方向设置1 根冷却水管,或入模温度为28 ℃且在墙体厚度方向设置2 根冷却水管时,可降低混凝土开裂风险系数至0. 70 以下。

2. 4 混凝土性能控制指标

基于工作井侧墙开裂风险评估结果,结合现场施工需求,提出了本工程工作井C40 自密实、高抗裂混凝土性能控制指标如表1 所示。在满足工程需求的自密实性能的基础上,该自密实、高抗裂混凝土的抗裂性能指标与混凝土开裂风险评估时的低温升、高抗裂混凝土抗裂性能指标相同。

图4 不同工况侧墙开裂风险

表1 工作井侧墙混凝土主要性能指标

3 自密实高抗裂混凝土制备与性能

3. 1 原材料与配合比

3. 1. 1 工程所用原材料及主要指标

1)水泥。南通海螺低碱P·O 42. 5 水泥,其密度为3. 02 g/ cm3、比表面积为340 m2 / kg。

2)粉煤灰。江阴利港I 级粉煤灰,其需水量比为108%、流动度比为105%。

3)砂。洞庭湖Ⅱ区中砂,其细度模数为2. 8、含泥量为1. 6%。

4)碎石。湖北兴华矿业5 ~ 20 mm 连续级配碎石,其松散堆积空隙率为43%。

5) 抗裂剂。江苏苏博特新材料股份有限公司HME-V 混凝土(温控、防渗)高效抗裂剂,其限制膨胀率20 ℃ 水中7 d 为0. 055%、转空气中21 d 为0. 010%,水化热降低率24 h 为54%、7 d 为13%。

6)流变改性材料。江苏苏博特新材料股份有限公司SBT-HDC(III)高性能混凝土流变改性材料,其流动度比为110%。

7)减水剂。江苏苏博特新材料股份有限公司液体SBT-SCC 自密实混凝土减水剂。

8)水。饮用水。

3. 1. 2 混凝土配合比

由于工作井侧墙对混凝土抗裂性能要求较高,因此混凝土配合比设计时采取了低胶凝材料、低水泥用量的原则,并掺加了具有水化历程和膨胀历程双重调控作用的抗裂剂; 同时为兼顾混凝土自密实性能,采用了流变改性材料及自密实减水剂,在初步试验的基础上,采取表2 所示的配合比进行了室内试验。其中,基准组编号为Ref,抗裂剂掺量为8%、10%时编号为8%HME-V、10% HME-V。

表2 混凝土配合比

3. 2 自密实性能

参照GB/ T 50080—2016《混凝土拌合物性能试验方法标准》及JGJ/ T 283—2012《自密实混凝土应用技术规程》测试了混凝土的含气量、容重、倒置坍落度时间、坍落扩展度、T500、坍落扩展度与J 环扩展度之差等,如表3 所示。结果表明: 混凝土含气量、容重等参数符合配合比参数要求,坍落扩展度为620~650 mm, T500 及倒置坍落度时间≤4. 2 s,其中,10%HME-V 组混凝土扩展度与J 环扩展度之差为20 mm,自密实性能相对最优。

表3 新拌混凝土性能

3. 3 力学性能

混凝土抗压强度测试结果如表4 所示。结果表明:Ref 混凝土强度高,且发展速率快,7 d 强度已超过设计强度; 采用HME-V 等量取代水泥后,混凝土强度及发展速率有所降低,但28 d 强度均能满足配制强度要求。

表4  混凝土抗压强度

3. 4 绝热温升

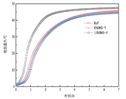
混凝土绝热温升测试结果如图5 所示。结果表明: 掺加HME-V 后,混凝土绝热温升值有所降低,且绝热温升早期发展速率显著降低。其中,Ref、8%HMEV、10%HME-V 混凝土7 d 绝热温升分别为47. 5、45. 7、44. 4 ℃,绝热温升1 d 与7 d 比值分别为62. 5%、48. 4%、47. 9%。在散热条件下,绝热温升早期发展速率越小,越有利于降低混凝土温升值、提高混凝土抗裂性。

图5 混凝土绝热温升

3. 5 自生体积变形

在20±2 ℃ 条件下,利用PVC 管成型直径100mm、高400 mm 的自生体积变形试件并覆盖保鲜膜,同步测试混凝土凝结时间。待自生体积变形试件静置2 h 后揭开保鲜膜,在试件上表面中心埋入铜头并继续覆盖保鲜膜; 待混凝土初凝时,揭开保鲜膜,用加热融化的石蜡密封自生体积变形试件; 待混凝土终凝时开始读数并记录。计算自生体积变形时,以混凝土终凝为0 点,结果如图6 所示。Ref 混凝土持续表现出收缩变形,28 d 自生体积收缩变形为-115. 6με; 掺加HME-V 后,可消除混凝土自生体积收缩并产生一定的膨胀变形。8%HME-V、10%HME-V 混凝土7 d 自生体积膨胀变形分别为199. 8με、255με,28 d 自生体积膨胀变形分别为166. 7με、252. 5με。可以看出,10%HME-V 混凝土后续收缩趋势较小,且56 d 自生体积变形仍超过220με。

图6 混凝土自生体积变形

4 工程应用

结合混凝土自密实性能、力学性能及抗裂性能试验结果,选取10%HME-V 混凝土配合比作为工作井侧墙混凝土配合比。始发工作井主要在平均气温约27 ℃的9 月份完成施工。通过采取原材料提前进场、骨料遮阳并洒水降温、掺加70~80 kg/ m3 片冰替代拌合水等措施,可降低混凝土入模温度至27 ℃以下。结合开裂风险评估结果,在工作井第1、4 层28 m 段及53. 6 m 段侧墙厚度方向设置了2 根冷却水管,距离内、外表面0. 5 m; 在第2、3 层28 m 段侧墙厚度中心设置了1 根冷却水管,上、下层水管间距1~1. 5 m; 此外,控制侧墙混凝土里表温差≤15 ℃,中心混凝土降温速率≤3. 0 ℃ / d。

工作井侧墙施工时,混凝土自密实性能良好,坍落扩展度普遍控制在650~680 mm,T500 及倒置坍落度时间≤4. 5 s,各项指标均满足表1 要求,混凝土布料间距≤4 m,必要时辅以10~15 s 的振捣,环框梁1 m 以下混凝土浇筑高度速率≤0. 4 m/ h,静置约1 h 后再按浇筑高度速率≤0. 3 m/ h 完成最后侧墙混凝土的浇筑。在墙体结构尺寸中心点(即在长度、高度、厚度的1/2 处)沿长度及厚度方向布置了可同时测量温度和变形的振弦式应变计,在中心点同一水平面上靠近内侧表及外侧表附近布置了温度计,温度计距离内侧表、外侧表均为5 cm。第1 层28 m 段侧墙温度监测结果如图7 所示。结果表明: 混凝土实际入模温度在25℃左右,墙体中心在1. 6 d 达到最高温度56. 6 ℃,由于冷却水管未及时关停,温峰后2 d 内降温速率较快;冷却水管自浇筑后4. 4 d 左右关停,混凝土缓慢降温,在采取控制入模温度及设置冷却水管等温控措施后,混凝土内部温度较小,加之工作井基坑内受外界空气对流影响较小,且侧墙采用的1. 8 cm 厚的木模板保温效果较好,使得混凝土内部温度差异较小,最大里表温差仅为8. 1 ℃; 由于温降早期冷却水管未及时关停,使得温降7 d 平均降温速率为2. 7 ℃ / d,仍满足平均降温速率不超过3. 0 ℃ / d 的要求。工作井侧墙采用满堂支架对撑的模板体系,待工作井侧墙全部完成浇筑后,再从上至下逐层拆模。因此,位于下部的第1—3 层侧墙带模养护20~50 d,上部第4 层侧墙带模养护10 d后拆模,并继续覆盖带塑料内膜的土工布养护至20 d。

图7 工作井侧墙混凝土温度

侧墙中心变形监测结果如图8 所示。结果表明,由于厚度方向约束较小,其膨胀变形显著大于长度方向。将本工程工作井1. 5 m 厚侧墙与某1. 05 m 厚侧墙及1. 3 m 厚底板温升阶段和温降阶段的变形比较如图9—10 所示。结果表明,工作井侧墙及某1. 05 m厚侧墙[3] 、1. 3 m 厚底板在温升阶段的单位膨胀变形分别为36. 6με/ ℃、11. 1με/ ℃、8. 5με/ ℃,在温降阶段的单位收缩变形分别为9. 7με/ ℃、14. 4με/ ℃、12. 1με/ ℃,即本工程工作井侧墙自密实、高抗裂混凝土在温升阶段的膨胀变形较普通混凝土增大了2 倍以上,在温降阶段的收缩变形较普通混凝土减小了20%以上。

图8 工作井侧墙混凝土变形

图9 不同结构混凝土温升阶段变形

图10 不同结构混凝土温降阶段变形

工作井侧墙拆模后未见混凝土出现裂缝,侧墙顶部与环框结合密实,外观无明显缺陷,最长持续跟踪超过120 d。结果表明,混凝土未出现开裂及渗漏现象,如图11 所示。

图11 始发工作井

5 结论与建议

1)基于多场耦合机制模型评估了工作井侧墙混凝土开裂风险,结果表明,开裂风险随侧墙长度的增加而显著增大,第4 层53. 6 m 段侧墙开裂风险最高,第1 层侧墙受到底板和上层环框梁等的外约束作用最强,相同28 m 长度的第1 层侧墙开裂风险最高。

2)制备了工作井侧墙C40 自密实、高抗裂大体积混凝土,胶凝材料用量450 kg/ m3,用水量162 kg/ m3,混凝土坍落扩展度达680 mm,T500 及倒置坍落度时间≤4. 5 s,混凝土7 d 绝热温升≤45 ℃,1 d 与7 d 绝热温升比值≤50%,7 d 与56 d 自生体积变形≥220με,实现了中低胶材混凝土自密实性能与抗裂性能的协同。

3)自密实高抗裂混凝土是基础,入模温度控制、设置冷却水管、控制布料间距与浇筑速率以及保温保湿养护等施工工艺措施是实现抗裂防渗的重要保障,通过设计、材料、施工等环节的闭环管控,解决了在密封空间内浇筑超长大体积工作井侧墙混凝土收缩开裂及不密实引起的渗漏水问题。

隧道网版权及免责声明:

凡本网注明“来源:隧道网”的所有作品,版权均属于隧道网,未经本网授权,不得转载、摘编或以其它方式使用上述作品。已经本网授权使用作品的,须在授权范围内使用,并注明“来源:隧道网”。违反上述声明者,本网将保留追究其相关法律责任的权利。凡本网来源注明为非隧道网的作品,均转载自其它媒体,转载目的在于传递更多信息,该文章仅代表作者观点,并不代表本网赞同其观点或对其真实性负责,请读者自行核实相关内容,仅作参考。如因作品内容、版权和其它问题请与本网联系。

关键词

相关文章

网友评论

发表评论

发表评论 (回复限1000字以内!)

加载更多...


隧道网手机版
隧道网微信公众号
╳ 关闭