0 引言
城市地铁作为一种能有效缓解城市交通拥堵、减轻城市交通压力的方法,在我国各大中城市发展迅猛。由于盾构法对不同的地质条件具有良好的适应性,在地下工程施工中发挥着重要作用。土压平衡盾构是目前应用最广泛的盾构。为提高土压平衡盾构在复合地层的适应性,常采用配备刮刀和滚刀的复合刀盘。推力是影响盾构施工性能的重要设计参数,其合理设计是盾构施工高效、成功的关键。由于复合地层中地质条件复杂,影响因素较多,这为盾构推力的定量计算带来一定的挑战。
近年来,许多学者采用经验方法或理论分析方法来预测土压平衡盾构掘进总推力。Krause模型是一种应用广泛的经验荷载预测模型,它是通过收集日本和德国盾构隧道的大量工程实例而提出的。该模型只考虑了一个几何参数(即盾构直径),而其他因素的影响则被考虑在一个系数中。然而,该系数变化范围很广,因此Krause模型只能粗略地估计推力。通过对粉砂场地的盾构模型试验研究,朱合华等分析了盾构推力的组成,指出了盾构推力的变化规律。苏健行等同样开展了室内的缩尺模型试验,对盾构推力和土仓压力的关系进行了研究。Zhang等基于盾构与土体的相互作用,将掘进过程中的总推力分解为不同的成分,建立了软土层中盾构的推力预测模型。陈仁朋等考虑刀盘挤土效应及土舱内压力分布模式的影响,对土压平衡盾构总推力计算式进行了修正。González等提出了一种使用简化平衡方程的推力预测方法,并使用不同岩土介质的数据库对其进行了验证。也有一些学者通过基于机器学习算法和深度学习算法等人工智能的方法对大量的实际盾构推力数据进行挖掘,获取一些隐含的盾构推力影响因素与影响规律,从而对盾构推力进行预测。例如,Sun等首次尝试提出了基于多源异构数据和数据驱动技术的动态推力预测方法。尽管如此,在地层参数不断变化的复合地层中,有效的盾构机推力预测模型仍然是需要面对的一个难题。
本文基于对盾构机推进过程中的力学平衡分析,将盾构总推力分为5个部分;以上软下硬复合地层为例,综合考虑地层的组成、切削刀具形式、盾构掘进速率、刀盘开口率等影响因素,建立复合地层盾构推力计算模型。以厦门地铁3号线工程为例分析验证了该推力计算模型的准确性。基于提出的土压平衡盾构推力计算方法,分析多因素对各推力成分和总推力的影响。
1 土压平衡盾构推力计算方法
所谓复合地层,是指隧道掘进的方向或开挖断面存在两种或两种以上不同地层工程地质、水文地质等特征相差较大的组合地层。由于地层性质复杂,盾构机与地层相互作用多变,盾构机推力的定量分析和准确估算是盾构设计的关键问题之一。当盾构推力估算较小时,盾构机在复合地层中掘进施工时且易引起由于盾构掘进时推力能力不足造成的盾构机卡机等问题;反之,当盾构推力估算较大时,会造成盾构机装备推力过剩,增加盾构机设计及制造成本。本文以上软下硬复合地层为例进行分析。
复杂地层中采用的盾构机复合刀盘配备了滚刀和刮刀(图1),分别用于不同风化程度的岩体和土体掘削。基于盾构机与复合地层间的相互作用分析,盾构总推力F为:
F=F1+F2+F3+F4+F5 (1)
式中:F1为刀盘贯入阻力;F2为作用在刀盘面板上的地层侧向压力;F3为刀盘开口处的土仓压力;F4为盾构推进过程中盾壳与地层间的摩擦力;F5为后配套台车牵引力。
图1 复合盾构刀盘
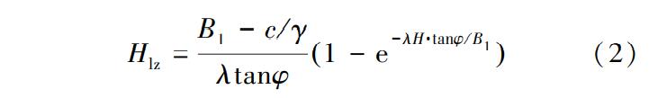
在此假设,当隧道埋深H<2D时,作用在盾构上的土压力应按照全覆土柱理论进行计算;当H≥2D时,应考虑隧道开挖引起的土拱效应,作用在盾构上的土压力按照太沙基松弛土压力理论进行计算。松动区高度Hlz按下式计算:
式中:B1为松动区宽度;c为土体黏聚力;γ为土体重度;λ为滑动面上的侧压力系数,一般取1;ψ为土体内摩擦角;H为隧道埋深。
1.1 刀盘贯入阻力
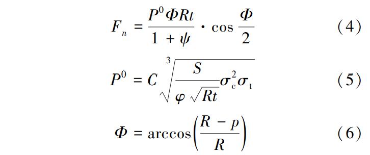
为保护刮刀受硬岩撞击破坏,复合刀盘上配备滚刀一般高于刮刀,因此假设刀盘贯入阻力F1主要由滚刀切割岩石的法向力Fn引起(图2)。CSM模型是美国科罗拉多矿业学院基于线切割试验提出的滚刀破岩预测计算模型,被广泛应用于盾构机刀盘设计。因此,本文在计算Fn时采用CSM模型:
式中:P0为岩石破碎区应力;Φ为岩石与滚刀接触角度;R为滚刀半径;t为滚刀刀刃宽度;ψ为模型参数,取-0.2~0.2;C为无量纲参数,取2.12;S为滚刀间距;σc为岩石单轴抗压强度;σt为岩石抗拉强度;p为刀盘每转一圈的贯入度。
刀盘贯入阻力F1表示为:
F1=nrFn (7)
式中:nr为切割岩石的滚刀数量。
图2 滚刀切割岩石示意图
1.2 刀盘面板上的地层侧向压力
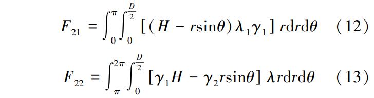
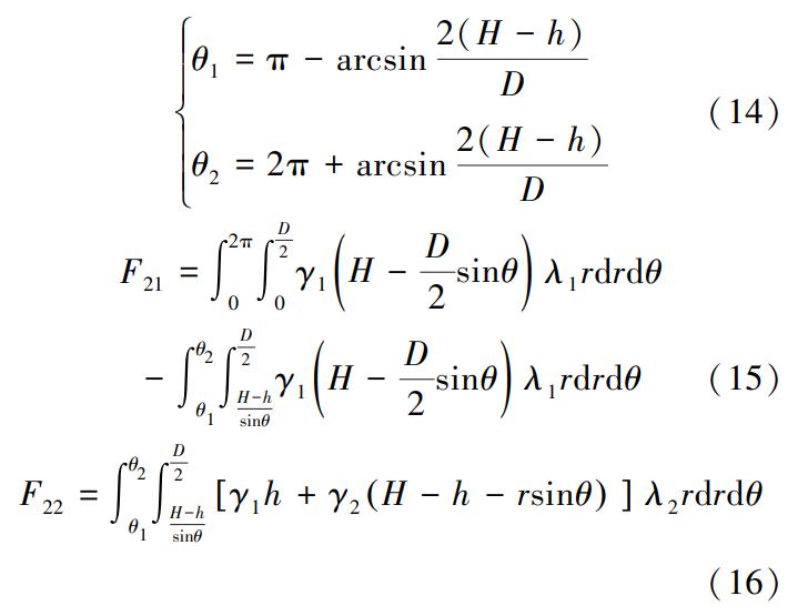
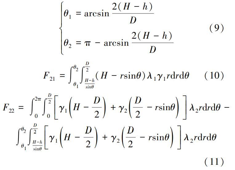
如图3(a)所示,刀盘面板上的地层侧向压力F2主要由上部土体作用在刀盘面板上的压力F21和下部岩体作用在刀盘面板上的压力F22组成:
F2=(F21+F22)⋅(1−η) (8)
式中:η为刀盘开口率。
图3 盾构表面荷载示意图
当H>h≥H-D/2时:
式中:θ1、θ2为与土岩交界面相关的角度参数;H为隧道中心埋深;h为土岩交界面埋深;D为刀盘直径;θ为刀盘上的点与刀盘中心连线的角度;r为刀盘上的点到刀盘中心的距离;γ1为上部土体的重度;λ1为上部土体的侧向压力系数;γ2为下部岩体的重度;λ2为下部岩体的侧向压力系数。
当H=h时:
当H<h时:
1.3 刀盘开口处的土仓压力
刀盘开口处的压力F3可由平均土仓压力在刀盘开口处积分所得:
式中:σ0为平均土仓压力,r为土仓隔板上的点到土仓隔板的距离,D土仓隔板直径,可近似取刀盘直径。σ0可根据现场实验确定的土舱压力传递系数乘侧向土压力获得。许多学者多其进行了研究,由于本研究中地层条件复杂,渣土性质随着盾构推进发生显著变化。已有研究中得到的经验传递系数对本研究工况的适用性有待考证。因此,本文采用将现场监测数据与地层条件以及盾构运行参数建立经验关系的方式确定。
1.4 盾壳与地层的摩擦力
如图3(b)所示,盾壳与周围岩土体的摩擦力F4由上部土体与盾壳的摩擦力F41和下部岩体与盾壳的摩擦力F42组成:
F4=F41+F42 (18)
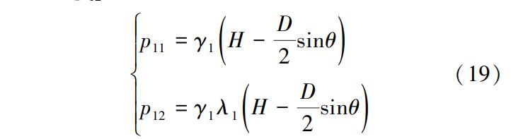
上部土体作用在盾壳上的竖向压力p11和水平压力p12可简化为:
下部岩体作用在盾壳上的竖向压力p21和水平压力p22可简化为:
盾壳与周围地层的摩擦力可表示为法向压力与摩擦系数的乘积。
当H>h≥H-D/2时,上部土体与盾壳的摩擦力F41可表示为:
下部岩体与盾壳的摩擦力F42可表示为:
式中:f1为土体与盾壳的摩擦系数;f2为岩体与盾壳的摩擦系数;L为盾壳长度。
当H=h时,上部土体与盾壳的摩擦力可表示为:
下部岩体与盾壳的摩擦力F42可表示为:
当H<h时,上部土体与盾壳的摩擦力F41可表示为:
下部岩体与盾壳的摩擦力F42可表示为:
1.5 后配套台车牵引力
后配套台车牵引力F5可表示为后配套系统轮子与轨道的摩擦力:
F5=fbWb (27)
式中:fb为轮子与轨道的摩擦系数;Wb为后配套系统的重力。
2 模型验证与工程应用
为了验证上述提出的上软下硬复合地层盾构推力预测模型,将其应用于厦门地铁3号线洋塘站—翔安行政中心站区间(简称洋翔区间)。洋翔区间包括618环盾构管片,区间覆土厚度为7.81~13.7 m。如图4所示,区间隧道主要穿越残积砂质黏性土、全风化花岗岩、散体状花岗岩、碎裂状花岗岩、中风化花岗岩和微风化花岗岩,地质条件极其复杂。地层物理力学性质如表1所示。本工程采用CTE6450土压平衡盾构施工,盾构直径为6.48 m, 盾构主机长度为8.658 m, 刀盘开孔率为35%。盾构刀盘安装了41个17英寸(432 mm)的滚刀和55个刮刀。盾构最大推力为40 860 kN,最大扭矩为6 650 kN·m, 最大掘进速度为80 mm/min。
图4 厦门地铁3号线地质剖面图
表1 地层物理力学参数
对实测的土仓压力数据与地层条件以及盾构运行参数间的关系进行分析。研究发现,土仓压力与盾构隧道埋深存在明显的相关关系(图5)。由图可见,土仓压力随着埋深的逐渐呈现先减小后增加的趋势,这可能与土拱的形成有关。土仓压力可用下式进行近似:
σ0=−0.023H3+0.793H2−8.833H+32.65 (28)
图5 土仓压力与隧道埋深的关系
图6为洋翔区间盾构总推力实测值与理论计算值对比图。由图可见,基于本文提出的计算方法所得到的推力与监测结果基本一致。实测推力的平均值为14 416.1 kN,预测推力的平均值为12 167.4 kN。根据Krause经验模型,盾构推力范围估算为20 995.2~50 388.5 kN,结果远高于实测结果和理论计算结果。图6给出了采用本文预测方法得到结果相对于监测结果的预测误差。单环管片误差结果在零线附近波动,局部误差较大,达监测结果50%左右。对计算结果进行整体误差分析,如图7所示,盾构推力预测结果误差在±50%之间,平均误差为-11.88%,验证了盾构掘进荷载理论计算模型的正确性和合理性。盾构推力成分占比如图8所示,盾壳与周围地层的摩擦力F4是最重要的组成部分,占总推力的67.3%左右;其次为刀盘开口处的压力F3,占总推力的14.8%左右;其余成分约占17.9%。同时,由于受地层分布影响严重,刀盘贯入阻力F1和盾壳与周围地层的摩擦力F4的波动明显。
图6 推力计算结果与监测结果对比
图7 推力计算误差分析
3 影响因素分析
以典型上软下硬复合地层为例,进行参数分析,研究各因素对盾构推力的影响,各因素变化范围见表2。
3.1 埋深
由于地面高低起伏变化,而隧道设计轴线以水平方向为主,随着盾构的掘进隧道面临不同埋深的情况。图9为埋深对推力的影响,由图9(a)可见,随着盾构埋深的增加,刀盘面板上的地层侧向压力F2和盾壳与周围岩土体的摩擦力F4显著增大;当隧道达到一定埋深后,土拱效应得到发挥,上覆土体的影响变缓。其他分量受隧道埋深影响较小,因此盾构总推力呈现与F2和F4相似的变化规律(图9(b))。
图8 盾构推力各成分占比
表2 影响因素变化范围
图9 埋深对各推力成分及总推力的影响
3.2 掌子面硬岩面积占比
隧道掌子面的组成是影响盾构掘进荷载的重要因素,基岩的存在对盾构推力的设计起到关键作用。图10为掌子面硬岩面积占比对推力的影响,由图10(a)可见,随着掌子面硬岩面积占比的增加,刀盘贯入阻力F1线性增加,刀盘面板上的地层侧向压力F2呈现略微降低的趋势,盾壳与周围岩土体的摩擦力F4非线性升高。由于F4在总推力中占比较高,总推力的趋势与F4接近;当掌子面硬岩面积占比从0升高至100%,总推力从9 266.2 kN升高到15 234.3 kN,提高了64.4%[图10(b)]。
图10 掌子面硬岩面积占比对各推力成分及总推力的影响
3.3 贯入度
在盾构隧道建设过程中,盾构推进速率往往决定了工期长短和工程造价。盾构掘进效率以贯入度表示。图11为贯入度对推力的影响,由图11(a)可见,贯入度的变化主要影响滚刀切割岩石引起的刀盘贯入阻力F1;相应的盾构总推力随着贯入度的增加呈对数增长[图11(b)]。
3.4 岩石单轴抗压强度
同样的,掌子面范围内岩石强度对盾构掘进的效率产生很大影响。图12为岩石单轴抗压强度对推力的影响。根据CSM模型,滚刀切割岩石的法向力Fn与岩石单轴抗压强度σc线性正相关,因此刀盘贯入阻力F1也呈现随岩石单轴抗压强度线性增加的趋势(图12(a))。然而,由于F1在总推力中占比较小,岩石单轴抗压强度的增加对盾构机总推力的影响比埋深和掌子面硬岩占比的影响较小。由图12(b)可见,岩石单轴抗压强度从20 MPa增加到120 MPa, 盾构总推力提升了18.9%。
图11 贯入度对各推力成分及总推力的影响
3.5 开口率
当地质条件较差时,为保证掌子面稳定性,盾构刀盘的开口率通常较小;当掌子面具有良好的自稳定性时,盾构刀盘的开口率可以稍微大些。图13为开口率对推力的影响。由图13(a)可见,刀盘面板上的地层侧向土压力F2随开口率的增加而减小,刀盘开口处的土仓压力F3随开口率的增加而增加,二者变化量接近,相互抵消,因此盾构总推力随开口率变化不大(图13(b))。

图12 岩石单轴抗压强度对各推力成分及总推力的影响

图13 开口率对各推力成分及总推力的影响
4 结论
(1)针对复合地层中盾构机总推力进行了理论分析,建立了考虑地层的组成、切削刀具形式、盾构掘进速率、刀盘开口率等因素的复合地层盾构掘进推力计算模型。以厦门地铁3号线洋翔区间盾构施工为例,验证了该推力计算模型的正确性和合理性。
(2)将盾构总推力分为5个部分:刀盘贯入阻力F1、刀盘面板上的地层侧向压力F2、刀盘开口处的压力F3、盾壳与周围地层的摩擦力F4和后配套台车牵引力F5。其中,F4在盾构机总推力中的占比超过60%;由于受地层分布影响,F1和F4的波动较大。
(3)分析了隧道埋深、隧道掌子面的组成、盾构贯入度、岩石单轴抗压强度和刀盘开口率对盾构总推力以及各成分的影响。研究发现,随着埋深的增加,土拱效应得到发挥,盾构总推力呈现先增后缓的变化趋势;随着掌子面岩石占比、贯入度、岩石强度的增加,盾构总推力显著增加;而盾构总推力随开口率变化不大。
摘自《地下空间与工程学报 》